【斐波那契螃蟹形态】主图指标用法解析,探索股市中的潜在支撑与阻力区域挖掘反转点,附带配套主图!
斐波那契理论中的螃蟹形态是一种基于斐波那契数列原理的技术分析工具,用于识别金融市场中的潜在支撑和阻力区域,以及可能的价格反转点。以下是对斐波那契螃蟹形态的详细解析:
一、定义与特征
螃蟹形态是一种变异的5-point扩展结构,由Scott Carney在2000年发现。它由四条价格腿组成,分别标记为X-A、A-B、B-C和C-D,每个点都有特定的斐波那契数值。需要注意的是,D点并不是一个固定的点,而是一个价格可能反转的区间,被称为潜在反转区(PRZ)。
二、形态结构
X-A价格腿:这是螃蟹形态的第一条价格腿,表示价格从X点移动到A点,通常是一个较大的价格变动。
A-B价格腿:随后,价格从A点回撤到B点,回撤的幅度通常是X-A价格腿所涵盖距离的38.2%至61.8%。
B-C价格腿:在B点之后,价格再次改变方向并上涨,回撤A-B价格腿所涵盖距离的38.2%至88.6%。
C-D价格腿:这是螃蟹形态的最后且最重要的部分。C-D价格腿促使初始X-A价格腿扩展更大(161.8%),是形态完成的位置。D点也是潜在的反转点,投资者通常在此处进行交易决策。
三、交易策略
入场点:对于看涨螃蟹形态,投资者通常在D点(X-A价格腿的161.8%斐波纳契扩展)处买入。对于看跌螃蟹形态,则在D点下方卖出。
止损设置:止损位通常设置在D点下方(看涨交易)或上方(看跌交易),以确保在价格未如预期反转时及时止损。
利润目标:利润目标的设置取决于投资者的交易目标和市场行情。进取性目标可以设在A点,而保守性目标可以设在B点。
四、优势与注意事项
优势:
直观性:斐波那契螃蟹形态指标通过绘制动态的“螃蟹”形态图案,使投资者能够直观地识别潜在的支撑和阻力区域。
客观性:基于数学原理的斐波那契比率使该指标具有一定的客观性和预测准确性。
多功能性:适用于多种金融产品,包括股票、期货、外汇等。
注意事项:
确认形态:在运用螃蟹形态进行交易前,需要确认形态是否可信,包括关键元素如AB=CD形态的扩展、B-C价格腿的斐波纳契扩展等。
结合其他分析:投资者应结合其他技术指标和市场信息进行分析,以提高交易决策的准确性和可靠性。
风险管理:合理设置止损和利润目标,控制风险敞口,避免过度交易和情绪化决策。
综上所述,斐波那契螃蟹形态是一种有效的技术分析工具,能够帮助投资者识别金融市场中的潜在机会和风险。然而,成功运用该形态需要投资者具备一定的市场分析能力和风险控制意识。
螃蟹形态因为形状类似螃蟹而得名,可以利用比例关系提前预测出价格反转位置,被称为是最精准的形态。它是蝴蝶形态的变形,跟蝴蝶形态相比,螃蟹形态的宽度更大。

螃蟹形态的看跌和看涨的形态如下图:


螃蟹形态成立条件:
AB边是XA的38.2%或61.8%回撤位,BC边是AB边38.2%或88.6%回撤位,CD边是BC边224%或361.8%扩展位。
BC边的回撤比例和CD边的扩展比例是相对应的,38.2%的回撤对应224%的扩展。
同时CD边是XA的161.8%扩展位。
螃蟹形态交易信号:
螃蟹形态呈现“W”型,W右上端点,价格反弹高点,是卖出信号;
螃蟹形态呈现“M”型,M右下端点,价格反弹低点,是买进信号。

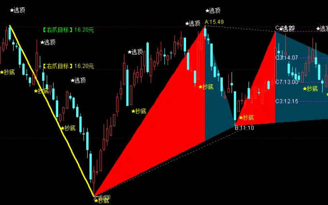
下面是主图指标展示


功能概述:
高点与低点识别:通过函数识别一定周期内的最高价和最低价。
趋势线与支撑/阻力线:绘制连接高点和低点的线,用以观察价格趋势和潜在的支撑/阻力区域。
波段目标计算:计算波段目标价格,作为可能的盈利目标或止损点。
图形绘制:绘制多种颜色和样式的线条,以可视化市场结构和潜在的转折点。
抄底与逃顶信号:使用指标提供抄底和逃顶的信号,辅助交易时机的选择。
买卖点:
买入信号(抄底):
标记为“★抄底”,可能是一个买入信号。
卖出信号(逃顶):
标记为“★逃顶”,可能是一个卖出信号。
波段操作:
价格达到计算出的波段目标时,可能考虑获利了结。
潜在转折点:
价格接近或触及绘制的支撑/阻力线时,可能考虑观望或采取行动。
注意事项:
指标公式基于历史数据和特定算法生成,并不能保证100%的成功率。
投资股票存在风险,使用这些指标时应结合其他分析方法和个人判断。
抄底和逃顶信号应结合其他技术指标和市场情绪来确认。
结论:
这个指标公式提供了一种结合价格动态和图形分析的方法,用于预测股票市场的未来走势。它通过识别关键的价格水平和转折点,帮助交易者在波段交易中做出更明智的买卖决策。然而,实际交易中应综合考虑市场情况、个人风险承受能力和其他相关信息。

